日照市岚山区市场监督管理局
关于清理长期停业未经营企业的公告
各相关企业:
为进一步推进“放管服”改革,落实“宽进严管”工作要求,优化全区市场竞争环境,引导企业守法诚信经营,根据《公司法》、《公司登记管理条例》、《企业法人登记管理条例》、《合伙企业法》、《个人独资企业法》等相关法律法规,我局决定继续在全区范围内开展清理长期停业未经营企业专项工作。有关事项公告如下:
一、清理对象
清理对象为在我区注册的自成立后无正当理由超过6个月未开业的,或者开业后自行停业连续6个月以上的企业。
二、清理时间
2020年3月起至2020年7月。
三、清理程序
区市场监管局对全区注册的企业进行认真排查和梳理,摸清清理对象底数,并联合税务、人社等部门进一步核对清理对象是否依法进行纳税申报、社保缴纳业务。
四、清理要求
对于被列入清理范围的企业,区分不同情况,分类处置。
1.继续经营的企业要及时补报年度报告。按照《企业信息公示暂行条例》规定,对未按时年报的企业,已被依法列入经营异常名录。未依法报送年报但又想继续经营的企业,要及时与当地市场监管部门取得联系,及时补报年度报告,然后申请移出经营异常名录(在2020年4月15日前)。
2.不再继续经营的企业要及时办理注销登记。已经决定不再继续经营的企业,应在2020年4月15日前向当地登记部门申请注销登记。
3.住所、经营场所或联系方式发生变化的企业要及时进行变更登记。企业住所、经营场所发生或联系方式变化并继续经营的,应及时向当地登记部门申请变更登记。
4.符合吊销条件的企业将依法吊销营业执照。对于长期未开展经营活动、未依法进行纳税申报、缴纳社保的企业,市场监管部门将依据《公司法》、《公司登记管理条例》、《企业法人登记管理条例》、《合伙企业法》、《个人独资企业法》等相关法律法规,依法吊销企业营业执照。被吊销企业的法定代表人(负责人)自企业被吊销营业执照之日起三年内不得担任其他企业的法定代表人、负责人等职务。
我局现将拟清理营业执照的企业名单予以公告,请名单中所列企业将相关证明材料在公告之日起至4月15日前,到岚山区市场监管局公平交易科确认是否正常开展经营活动。联系地址:岚山区岚山中路37号岚山区市场监管局411房间。咨询电话:0633-2618696。
特此公告。
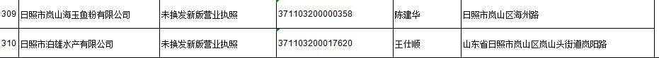
附:岚山区市场监督管理局拟清理长期停业未经营企业名单
日照市岚山区市场监督管理局
2020年2月25日





















来源:岚山市场监管