一、 最佳选择题(共40题,每题1分, 的备选项中,只有一个最符合题意)
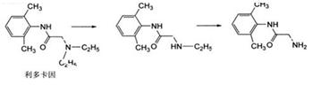
1.利多卡因在体内代谢如下,其发生的第一相转化反应为B

A.O-脱烷基化
B.N-脱烷基化
C.N-氧化
D.C-环氧化
E.S-氧化
2.不属于葡萄糖醛酸结合反应的类型是
A.O-葡萄糖醛苷化
B.C-葡萄糖醛苷化
C.N-葡萄糖醛苷化
D.S-葡萄糖醛苷化
E.P-葡萄糖醛苷化
3.有机药物多数为弱酸或弱碱,在体液中只能部分解离,以解离的形式和非解离的形式同时存在与体液中,当pH=pKa时,分子型和离子型药物所占的比例分别为
A.90%和10%
B.10%和90%
C.50%和50%
D.33.3%和66.7%
E.66.7%和33.3
4.关于散记特点的说法,错误的是
A.粒径小、比表面积大
B.易分散、起效快
C.尤其适宜湿敏感药物
D.包装、贮存、运输、携带较方便
E.便于婴幼儿、老人服用
5.不属于低分子溶液剂的是
A.碘甘油
B.复方薄荷脑醑
C.布洛芬混悬滴剂
D.复方磷酸可待因糖浆
E.对乙酰氨基酚口服溶液
6.根据药物作用机制分析,下列药物作用属于非特异性作用机制的是
A.阿托品阻断M受体而缓解胃肠平滑肌痉挛
B.阿司匹林抑制环氧酶而解热镇痛
C.硝苯地平阻断Ca2+而降血压
D.氢氯噻嗪抑制肾小管Na+-Cl-转换体,产生利尿作用
E.碳酸氢钠碱化尿液而促进弱碱*药性**物的排泄
7.既有第一信使特征也有第二信使特征的信使分子是
A.Ca2+
B.神经递质
C.环磷酸腺苷
D.一氧化氮
E.生长因子
8.不同企业生产一种药物不同制剂,处方和生产工艺可能不同,欲评价不同制剂间吸收速度和程度是否相同,应采用评价方法是
A.生物等效性试验
B.微生物限度检查法
C.血浆蛋白结合率测定法
D.平均停留时间比较法
E.制剂稳定性试验
9.属于肝药酶*制剂抑**药物的是
A.苯巴比妥
B.螺内酯
C.苯妥英钠
D.西咪替丁
E.卡马西平
10.因为竞争性占据酸性转运系统,阻碍青霉素肾小管分泌,进而延长青霉素作用的药物是
A.阿米卡星
B.克拉维酸
C.头孢哌酮
D.丙磺酸
E.丙戊酸钠
11. 关于对乙酰氨基酚的说法错误的是
A.对乙酰氨基酚分子中含有酰胺键,正常储存条件下易发生水解变质
B. 对乙酰氨基酚在体内代谢可产生乙酰亚胺醌,引起肾毒性和肝毒性
C.大剂量服用对乙酰氨基酚引起中毒时,可用谷胱甘肽或乙酰半胱氨酸
D. 对乙酰氨基酚在体内主要与葡萄醛酸结合或硫酸结合,从肾脏排泄
E.可与阿司匹林合成前药
12.通过抑制黄嘌呤酶减少尿酸生成的药物是
A.秋水仙碱
B.丙磺舒
C.别嘌醇
D.苯溴马隆
E.布洛芬
13.通过稳定细胞膜而预防各型哮喘发作的药物是
A.沙丁胺醇
B.扎鲁司特
C.噻托溴铵
D.齐留通
E.色甘酸钠
14.属于糖皮质激素的平喘药
A.茶碱
B.丙酸氟替卡松
C.异丙托溴铵
D.孟鲁司特
E.沙美特罗
15. 是属于HMG-COA还原酶*制剂抑**,有内酯结构,属于前药,水解开环后有3,5-二羟基羧酸的是
A.普伐他汀
B.氟伐他汀
C.阿托伐他汀
D.瑞舒伐他汀
E. 辛伐他汀
16.对于半衰期较长的药物,要尽快达到稳态血药浓度,可采用的给药方法是
A、等剂量等间隔给药
B、首次给药剂量加倍
C、恒速静脉滴注
D、增加给药频率
E、隔日给药应当
17.表示抗菌药物抗菌活性的主要指标是
A、抗菌谱
B、化疗指数
C、最低抑菌或杀菌浓度
D、安全系数
E、效价强度
18.片剂的规格系指
A、标示每片含主药的重量
B、每片含有辅料的处方量
C、测得每片中主药的平均含量
D、每片重辅料的实际投入量
E、测得每片的平均重量
19.中国药典采用符号cm-1表示的计量单位名称是
A、长度
B、体积
C、波数
D、黏度
E、密度
20.采用高效液相色谱法测得庆大霉素Cl组分的含量为35.0%,已知其真实含量为50.0%,则相对误差
A、70.0%
B、30.0%
C、15.0%
D、-15.0%
E、-30.0%
21.采用标准加入法验证阿司匹林含量测定的准确度,精密称取片剂粉末15.00mg(已知阿司匹林10.00mg),向其中准确加入阿司匹林12.50mg,依法测定,测得阿司匹林总量为22.50mg,方法回收率的计算结果为
A、回收率(%)=22.50/15.00*100%=150.0%
B、回收率(%)=12.50/10.00*100%=125.0%
C、回收率(%)=(22.50-10.00)/12.50*100%=100.0%
D、回收率(%)=10.00/12.50*100%=80.00%
E、回收率(%)=(22.50-15.00)/12.50*100%=60.00%
22.中国药典规定葡萄糖注射液的PH值为3.2-6.5,在测定供试品溶液PH值之前,对酸度计进行校正(定位)时,应使用的标准缓冲液是
A、苯二甲酸盐标准缓冲液(PH4.01)
B、磷酸盐标准缓冲液(PH6.86)
C、草酸盐标准缓冲液(PH1.68)和苯二甲酸盐标准缓冲液(PH4.01)
D、苯二甲酸盐标准缓冲液(PH4.01)和磷酸盐标准缓冲液(PH6.86)
E、草酸盐标准缓冲液(PH1.68)和磷酸盐标准缓冲液(PH6.86)
23.用氢氧化钠溶液0.1mg/L测定醋酸溶液0.1mg/L使用的指示剂为
A、酚酞
B、淀粉
C、β-萘酚
D、结晶紫
E、邻二氮菲
24.《中国药典》中,检查甲苯咪唑(C晶型)中A晶型限量的方法是
A、紫外-可见分光光度法
B、红外分光光度法
C、氧化还原滴定法
D、酸碱滴定法
E、非水溶液滴定法
25.色谱系统适用性试验中,理论板数(n)用于评价
A、固定相的极性
B、色谱柱的分离效能
C、色谱柱的长度
D、色谱峰面积的重复性
E、色谱峰的对称性
26.基于升华原理的干燥方法是
A.红外干燥
B.消化床干燥
C.冷冻干燥
D.喷雾干燥
E.微波干燥
27.某片剂主药含量应为 0.33g,如果测得颗粒中主药含量为 66%,那么片重应为
A. 0.1g
B. 0.2g
C. 0.3g
D. 0.4g
E. 0.5g
28.不适合粉末直接压片的辅料是
A. 微粉硅胶
B. 可压性淀粉
C. 微晶纤维素
D. 蔗糖
E. 乳糖
29.为了防止片剂的崩解迟缓,制备时宜选用的润滑剂为
A. A 辅料(接触角=36 度)
B. B 辅料(接触角=91 度)
C. C 辅料(接触角=98 度)
D. D 辅料(接触角=104 度)
E. E 辅料(接触角=121 度)
30.在胶囊剂的空胶囊壳中可加入少量的二氧化钛作为
A. 抗氧剂
B. 防腐剂
C. 遮光剂
D. 增塑剂
E. 保湿剂
31.适合制备难溶*药性**物灰*霉素黄**滴丸的基质是
A. MCC
B. EC
C. HPMCP
D. CAP
E. PEG
32.《中国药典》2010 版规定平均重量在 1.0-3.0g 的栓剂,其重量差异限度为
A. ±5.0%
B. ±7.5%
C. ±10%
D. ±12.5%
E. ±15%
33关于眼膏剂的说法,错误的是
A. 是供眼用的无菌制剂
B. 用于眼部手术的眼膏剂不得加入抑菌剂
C. 常用 1:1:8 的黄凡士林、液体石蜡和羊毛脂的混合物作为基质
D. 难溶*药性**物制备眼膏剂时,应先研成极细粉末并通过九号筛选
E. 眼膏剂的缺点是有油腻感并使视力模糊
34.关于膜剂的说法,错误的是
A. 可供口服,口含,舌下或黏膜给药
B. 可制成单层膜、多层膜和夹心膜
C. 载药量高
D. 起效快
E. 重量差异不易控制
35.关于纯化水的说法,错误的是
A. 可作为制备中药注射剂时所用饮片的提取溶剂
B. 可作为制备中药滴眼剂时所用饮片的提取溶剂
C. 可作为配制口服制剂的溶剂
D. 可作为配制外用的溶剂
E. 可作为配制注射剂的溶剂
36.为莨菪碱类药物,天然品为左旋体(称 654-1),合成品为外消旋体(称 654-2) 药物是
A.硫酸阿托品
B.氢溴酸山莨菪碱
C.丁溴东莨菪碱
D.氢溴酸东莨菪碱
E.溴丙胺太林
37.分子中含有巯基,对血管紧张素转换酶(ACE)产生较强抑制作用的抗高血压药物是
A.卡托普利
B.马来酸依那普利
C.福辛普利
D.赖诺普利
E.雷米普利
38.关于硝酸甘油性质和作用的说法,错误的是
A. 常温下为液体,有挥发性
B. 在遇热或撞击下易发生爆炸
C. 在碱性条件下迅速水解
D. 在体内不经代谢而排出
E. 口腔黏膜吸收迅速,心绞痛发作时,可在舌下含服
39.分子中含有香豆素的内酯结构,易多种药物发生相互作用而影响安全性的抗凝药物是

40.为 S-(-)-光学异构体,体内代谢慢,维持时间长的抗溃疡药物是
A.奥美拉唑
B.埃索美拉唑
C.兰索拉唑
D.泮托拉唑
E.雷贝拉唑钠
二、配伍选择题(共60题,每题1分。题目分为若干组,每组题目对应同一组备选项,备选项可重复选用,也可不选用。每题只有1个最符合题意)
【41~42】
A.渗透效力
B.溶解速率
C.胃排空速度
D.解离度
E.酸碱度
生物药剂学分类系统,根据药物溶解性和肠壁渗透性的不同组合,将药物分为四类
41.阿替洛尔属于第三类,是高水溶性、低渗透性的水溶性分子药物,其体内吸收取决于A
42.卡马西平属于第二类,是低水溶性、高渗透性的亲脂性分子药物,其体内吸收取决于B
【43~45】
A.共价键
B.氢键
C.离子-偶极和偶极-偶极相互作用
D.范德华引力
E.疏水性相互作用
43.乙酰胆碱与受体的作用,形成的主要键合类型
44.烷化基环磷酰胺与DNA碱基之间形成的主要键合类型是
45.碳酸与碳酸苷酶的结合,形成的主要键合类型是
【46~48】
A.防腐剂
B.矫味剂
C.乳化剂
D.抗氧剂
E.助悬剂
46.制备静脉注射脂肪乳时,加入的豆磷脂是作为
47.制备维生素C注射剂时,加入的亚硫酸氢钠是作为
48.制备醋酸可的松滴眼液时,加入的羧甲基纤维素钠是作为
【49~50】
A.可逆性
B.饱和性
C.特异性
D.灵敏性
E.多样性
49.受体对配体具有高度识别能力,对配体的化学结构与立体结构具有专一性,这一属性属于受体的
50.受体的数量和其能结合的配体量是有限的,配体达到一定浓度后,效应不再随配体的浓度增加而增加,这一属性属于受体的
【51~52】
A.药物因素
B.精神因素
C.疾病因素
D.遗传因素
E.时辰因素
影响因素作用的因素包括药物因素和机体因素,在机体因素中,有生理因素、精神因素、疾病因素、遗传因素、时辰因素等,直接或间接影响药物疗效和不良反应。
51.CYP2C19弱带些型人服用奥美拉唑不良反应发生率高,产生这种现象的原因是
52.肾功能不全患者使用阿米卡星需减量慎用,这种影响药物作用的因素是
【53~55】
A.降压作用增强
B.巨幼红细胞症
C.抗凝作用下降
D.高钾血症
E.肾毒性增强
53.氨苯地平合用氢氯噻嗪,产生的相互作用可能导致
54.甲氨蝶呤合用复方磺胺甲恶唑,产生的相互作用可能导致
55.庆大霉素合用呋塞米,产生的相互作用可能导致
【56-58】
A、副作用
B、毒性反应
C、变态反应
D、后遗效应
E、特异质反应
56.药物在治疗量时引起的与治疗目的无关的不适反应是
57.药物剂量过大或体内蓄积过多时发生的危害机体的反应是
58.药物引起的与免疫反应有关的生理功能障碍或组织损伤
【59-61】
A、肾上腺素
B、异烟肼
C、盐酸四环素
D、*西泮地**
E、氟康唑
59.用紫外-可见分光光度法检查酮体的药物是
60.用薄层色谱法检查游离肼的药物是
61.用氧瓶燃烧比色法检查含氟量药物的含量是
【62-65】
A、焰色反应法
B、干燥失重测定法
C、分子排阻色谱法
D、红外分光光度法
E、反相高效液相色谱法
62.鉴别青霉素钠中钠盐的方法是
63.鉴别青霉素钠中青霉素聚合物的方法是
64.鉴别青霉素钠中水分的方法是
65.测定青霉素钠含量的方法是
【66-67】
A、酸性溶液中析出白色沉淀
B、与氯化三苯四氮唑试验反应显红色
C、与三氯化铁试液呈草绿色
D、与亚硝基铁氰化钠反应呈蓝紫色
E、与*硒酸亚**反应呈绿色,渐变蓝色
66.测定醋酸地塞米松注射液含量的依据是
67.鉴别黄体酮的依据是
【68-69】
A、红外分光光度法
B、紫外-可见光分光光度法
C、薄层色谱法
D、非水溶液滴定法
E、氧化还原滴定法
68.《中国药典》中,测定硫酸阿托品含量的方法是
69.《中国药典》中,测定硫酸阿托品片含量的方法是
【70-72】
A. 11.0
B. 17.4
C. 34.8
D. 58.2
E. 69.6
70.A 和 B 两种药物的 CRH 分别为 71.0%和 82.0%,两者等量混合后CRH(%)值是
71.A 和 B 两种抛射剂的蒸汽压分别为 12.5 和 22.3,两者等量混合后的蒸汽压是
72.A 和 B 两种表面活性剂的 HLB 值分别为 16.6 和 18.2 两者混合后的 HLB 值是
【73-74】
A. 可溶性颗粒
B. 混悬颗粒
C. 泡腾颗粒
D. 肠溶颗粒
E. 控释颗粒
73.以碳酸氢钠和有机酸为主要辅料制备的颗粒剂是
74.能够恒速释放药物的颗粒剂是
【75-76】
A. 肠溶片
B. 分散片
C. 泡腾片
D. 舌下片
E. 缓释片
75.能够避免药物受胃肠及酶的破坏而迅速起效的片剂是
76.规定在 20℃左右在水中3分钟内崩解的片剂是
【77-78】
A. 乙基纤维素
B. 醋酸纤维素
C. 羟丙基纤维素
D. 低取伏羟丙基纤维素
E. 微晶纤维素
77.既可以作湿法制粒粘合剂,也可以作为粉末直接压片黏合剂的是
78.既可以作片剂的填充剂(稀释剂),也可作为粉末直接压片黏合剂的是
【79-81】
A. 羟丙基纤维素
B. 甲基纤维素
C. 醋酸纤维素
D. 微晶纤维素
E. 邻苯二甲醋酸纤维素
79.属于肠溶型包衣材料的是
80.属于胃溶型包衣材料的是
81.属于水不溶型包衣材料的是
【82-83】
A. 15min
B. 30 min
C. 45 min
D. 60 min
E. 120 min
82.脂肪性基质的栓剂的融变时限规定是
83.水溶性基质的栓剂的融变时限规定
【84-87】
A.丙磺舒
B.克拉维酸
C.舒巴坦钠
D.他唑巴坦
E.甲氧苄啶
84.天然来源的β-内酰胺酶*制剂抑**,临床上常与阿莫西林组成复方制剂的药物是
85.因口服吸收差,可与氨苄西林以 1:1 的形式以次甲基相连,得到舒他西林的药物是
86.与青霉素合用,可降低青霉素的排泄速度,从而增强青霉素抗菌活性的药物是
87.本身具有广谱抗菌作用,与磺胺类药物合用可显著增强抗菌作用的药物是
【88-90】
A.肾上腺素
B.酒石酸间羟胺
C.沙丁胺醇
D.沙美特罗
E.盐酸麻黄碱
88.含有儿茶酚胺结构,易被氧化变质的肾上腺素能药物是
89.含有叔丁氨基结构,选择行激动 β2 受体的肾上腺能药物是
90.结构中不含有酚羟基,易通过血脑屏障,产生较强中枢兴奋副作用的肾上腺素能药物是



E. 盐酸地尔硫卓
91.含有 1 个手性碳的二氢吡啶类钙通道阻滞剂,用于高血压治疗的药物是
92.含有 1 个手性碳的芳烷基胺类钙通道阻滞剂,用于室上性心动过速治疗的药物是
93.含有 2 个手性碳的苯硫氮类钙通道阻滞剂,用于冠心病治疗的药物是
94.不含有手性碳的三苯哌嗪类钙通道阻滞剂,用于脑供血不足治疗的药物是
【95-96】
A. 大豆油
B. 大豆磷脂
C. 甘油
D. 羟苯乙酯
E. 注射用水
95.属于静脉注射脂肪乳剂中乳化剂的是
96. 属于静脉注射脂肪乳剂中渗透压调节剂的是
【97-100】
A. 羟苯乙酯
B. 聚山梨酯
C. 苯扎溴铵
D. 硬脂酸钙
E. 卵磷脂
97.属于阳离子表面活性剂的是
98.属于阴离子表面活性剂的是
99.属于两性离子表面活性剂的是
100.属于非离子表面活性剂的是
三、 综合分析选择题(共10题,每题1分,题目分为若干组,每组题基于同一个临床情景,病历、实例或病历的信息,每题只有一个最符合题意的选项。)
(一)
【101~103】
注射用美洛西林/舒巴坦规格1.25(美洛西林1.0g,舒巴坦0.25g),成人静脉符合单室模型。美洛西林表观分布容积V=0.5L/kg。
101.体重60kg患者用此药进行呼吸系统感染治疗,希望美洛西林/舒巴坦可达到0.5g/L,需给美洛西林/舒巴坦的负荷剂量为
A.1.25g(1瓶)
B.2.5g(2瓶)
C.3.75g(3瓶)
D.5.0g(4瓶)
E.6.25g(5瓶)
102.关于复方制剂美洛西林与舒巴坦的说法,正确的是
A.美洛西林为“自杀性”β-内酰胺酶*制剂抑**
B.舒巴坦为氨苄西林经改造而来的,抗菌作用强
C.舒巴坦可增强美洛西林对β-内酰胺酶稳定性
D.美洛西林具有甲氧肟基对β-内酰胺酶具高稳定作用
E.舒巴坦属于他青霉烯类抗生素
103.注射用美洛西林/舒巴坦的治疗要求不包括
A.无异物
B.无菌
C.无热源、细菌内毒素
D.粉末细度与结晶度适宜
E.等渗或略偏高渗
(二)
速效感冒胶囊(硬胶囊)的处方如下:
对乙酰氨基酚 300g
胆汁粉 100g
马来酸氯苯那敏 3g
食用色素 适量
维生素C 100g
咖啡因 3g
10%淀粉浆 适量
共制成硬胶囊剂1000粒
104.下列不属于胶囊剂的特点是
A.能掩盖药物的不良臭味
B.生物利用度高于丸剂和片剂
C.使液态药物固体剂型化
D.延缓药物的释放
E.适合易风化的药物
105.关于处方中马来酸氯苯那敏的说法错误的是
A.是抗组胺药物
B.可以减轻头痛
C.又名“扑尔敏”
D.口服吸收快且完全
E.孕期妇女可以使用
(三)
处方:
鱼肝油 500ml
阿拉伯胶细粉 125g
西黄芪胶细粉 17g
杏仁油 1ml
糖精钠 0.1g
尼泊金乙酯 0.05g
纯化水加至1000ml
106.本制剂的名称为
A.制霉菌素鱼肝油
B.金霉素鱼肝油
C.5%金霉素鱼肝油
D.鱼肝油乳剂
E.鱼肝油注射剂
107.杏仁油在本品中属于
A.矫味剂
B.乳化剂
C.防腐剂
D.着色剂
E.增溶剂
108.关于尼泊金类防腐剂说法错误的是
A.抑菌作用随烷基碳数增加而增加
B.溶解度随烷基碳数增加而增加
C.化学性质稳定
D.在弱碱溶液中作用减弱
E.塑料能吸附本品
109.关于O/W型乳剂说法错误的是
A.外观通常为乳白色
B.可以导电
C.可以用水稀释
D.滤纸润湿法时,中心无油滴
E.滤纸润湿法时液滴迅速铺展
110.乳化剂应具备的条件不包括
A.较强的乳化能力
B.一定的生理适应能力
C.受各种因素影响小
D.稳定性好
E.不影响表面张力
四、 多选题
111.增加药物稳定性的方法有
A.对水溶液不稳定的药物,制成固体制剂B.对防止药物因受环境中的氧气、光线等影响,制成微囊或包合物
C.对遇湿不稳定的药物,制成包衣制剂
D.对不稳定的有效成分,制成前体药物
E.对生物制品,制成*干粉冻**制剂
112.属于第Ⅱ相生物转化的反应有
A.对乙酰氨基酚和葡萄糖醛酸的结合反应
B.沙丁胺醇和硫酸的结合反应
C.白消安和谷胱甘肽的结合反应
D.对氨基水杨酸的甲基化反应
E.肾上腺素的甲基化结合反应
113.按分散系统分类,下列属于非均相液体药剂的是
A.低分子液体药剂
B.高分子液体药剂
C.溶胶剂
D.混悬剂
E.乳剂
114.某药物首过效应较大,适宜的剂型有
A.肠溶片
B.舌下片
C.泡腾片
D.透皮贴剂
E.注射剂
115.多数药物作用于受体发挥药效,受体的主要类型有
A.G蛋白偶联受体
B.配体门控离子通道受体
C.酶活性受体
D.电压依赖性Ca2+通道
E.细胞核激素受体
116.药物作用的靶点有
A、受体
B、酶
C、离子通道
D、核酸转运体
E、基因
117.以非均匀分散体系构成的剂型包括
A. 溶液型
B. 高分子溶液型
C. 乳浊型
D. 混悬型
E. 固体分散型
118.胶囊剂包括
A. 硬胶囊
B. 软胶囊
C. 缓释胶囊
D. 控释胶囊
E. 肠溶胶囊
119.甘油在膜剂处方中可作
A. 着色剂
B. 脱膜剂
C. 增塑剂
D. 表面活性剂
E. 填充剂
120.可以静脉给药的剂型有
A. 水溶液型注射剂
B. 油溶液性注射剂
C. O/W 型乳剂型注射剂
D. 油混悬液型注射剂
E. 水混悬液型注射剂

需要更多习题的朋友,随时关注医时代公众号!还有老师专业在线解答!