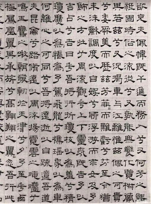
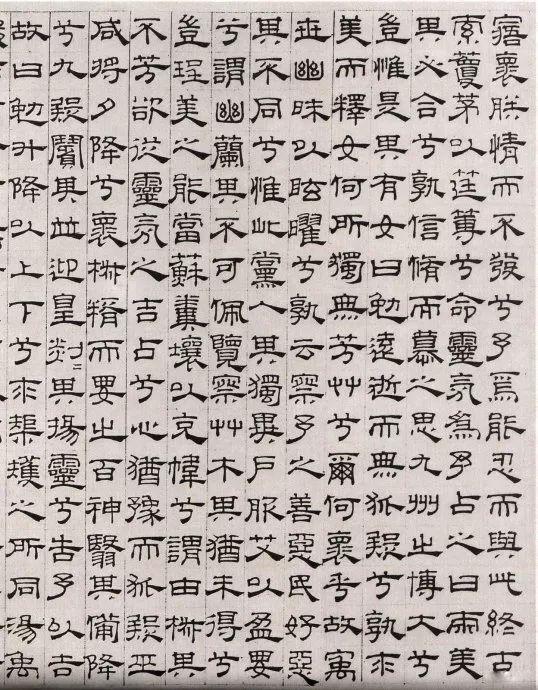
屈原离骚的隶书 (元朝吴睿离骚隶书)

吴叡隶书《离骚》,

上海博物馆藏。

28.2×223.3,

27.7×240。

此卷隶书所书《离骚》,是他37岁时写,有评论认为:法度严谨,字字不苟。此卷隶书清健秀美,但古朴不足。

《离骚》是《楚辞》的代表作,是我国最长的抒情诗。

《离骚》是战国时楚人屈原的作品。关于离骚命题之意,据统计有66种说法,现举出有代表性的六种:

1、班固认为:“离,犹遭也。骚,忧也。明已遭忧作辞也。”即离骚,遭忧。

2、钱澄之认为:“离为遭;骚为扰动。扰者,屈原以忠被馋,志不忘君,心烦意乱,去住不宁,故曰骚也。”

3、游国恩认为离骚即楚国古曲名《劳商》。

4、林庚认为离骚即“牢骚”,“离”“牢”是双声字。

5.司马迁认为是遭受忧患的意思,他在《史记·屈原贾生列传》中说:“《离骚》者,犹离忧也。”因其距屈原年代未久,且楚辞中多有“离忧”或“离尤”之语,以此说法最可信。

6.我国第一部由文人创作的诗歌。被收入西汉刘向所编的《楚辞》中。补:《楚辞》——屈原,宋玉的作品为主体的诗歌总集。“楚辞”——诗歌样式。

司马迁在《史记·太史公自序》中说:“屈原放逐,著《离骚》。”则当作于放逐以后。今人对此说法不一,有说作于怀王世被疏以后,有说作于顷襄王世被放以后,有说作于怀王末顷襄王初,有说始作于怀王时而作成于顷襄王初,迄无定论。 关于创作缘由,司马迁在《史记·屈原列传》中引刘安《离骚传》说:“屈平疾王听之不聪也,谗谄之蔽明也,邪曲之害公也,方正之不容也,故忧愁幽思而作《离骚》,离骚者,尤罹忧也。”;又说:“屈原正道直行,竭忠尽智以事其君,谗人间之,可谓穷矣。信而见疑,忠而被谤,能无怨乎?屈平之作《离骚》,盖自怨生也。”屈原的“忧愁幽思”和怨愤,是和楚国的政治现实紧密联系在一起的。《离骚》就是他根据楚国的政治现实和自己的不平遭遇,“发愤以抒情”而创作的一首政治抒情诗。因为其中曲折尽情地抒写了诗人的身世、思想和境遇,因此也有人把它看作是屈原生活历程的形象记录,称它为诗人的自叙传。

吴叡(1298-1355),字孟思,号雪涛散人、青云生、养素处士,先世为濮阳人,移居杭州。终身布衣。晚年客居江苏昆山,也死在昆山,因将其所学传递到吴门一带。为吾衍弟子,工书法,尤精篆、隶。

刘基《覆瓿集》云:“叡少好学,工翰墨,尤精篆、隶,凡历代古文款识制度无不考究,得其要妙。下笔初若不经意,而动合矩度。识者谓吾子行、赵文敏不能过也。”他在篆书、隶书、印章方面都接受了吾衍的思想,并有所发展。传世的书迹有《篆书千字文》、《隶书离骚》、《九歌图卷跋》等。

屈原《离骚》全诗及解析: 帝高阳之苗裔兮,我是古帝高阳氏的子孙,

朕皇考曰伯庸。我的父亲字伯庸。

摄提贞于孟陬兮,岁星在寅那年的孟春月,

惟庚寅吾以降。正当庚寅日那天我降生。

皇览揆余初度兮,父亲仔细揣测我的生辰,

肇锡余以嘉名:于是赐给我相应的美名:

名余曰正则兮,父亲把我的名取为正则,

字余曰灵均。同时把我的字叫作灵均。

纷吾既有此内美兮,天赋给我很多良好素质,

又重之以修能。我不断加强自已的修养。

扈江离与辟芷兮,我把江离芷草披在肩上,

纫秋兰以为佩。把秋兰结成索佩挂身旁。

昔三后之纯粹兮,从前三后公正德行完美,

固众芳之所在。所以群贤都在那里聚会。

杂申椒与菌桂兮,杂聚申椒菌桂似的人物,

岂惟纫夫蕙茝!岂止联系优秀的茝和蕙。

汩余若将不及兮,光阴似箭我好像跟不上,

恐年岁之不吾与。岁月不等待人令我心慌。

朝搴阰之木兰兮,早晨我在山坡采集木兰,

夕揽洲之宿莽。傍晚在小洲中摘取宿莽。

日月忽其不淹兮,时光迅速逝去不能久留,

春与秋其代序。四季更相代替变化有常。

惟草木之零落兮,我想到草木已由盛而衰,

恐美人之迟暮。害怕君王逐渐衰老。

不抚壮而弃秽兮,何不利用盛时扬弃秽政,

何不改乎此度?为何还不改变这些法度?

乘骐骥以驰骋兮,乘上千里马纵横驰骋吧,

来吾道夫先路也!来呀,让我在前引导开路!

以上是第一部分:叙述诗人家世出身,生辰名字,以及自已如何积极自修,锻炼品质和才能。

彼尧舜之耿介兮,唐尧虞舜多么光明正直,

既遵道而得路。他们沿着正道登上坦途。

何桀纣之猖披兮,夏桀殷纣多么狂妄邪恶,

夫唯捷径以窘步。贪图捷径落得走投无路。

惟夫*党**人之偷乐兮,结*党**营私的人苟安享乐,

路幽昧以险隘。他们的前途黑暗而险阻。

岂余身之惮殃兮,难道我害怕招灾惹祸吗,

恐皇舆之败绩!我只担心祖国为此覆灭。

忽奔走以先后兮,前前后后我奔走照料啊,

及前王之踵武。希望君王赶上先王脚步。

荃不察余之中情兮,你不深入了解我的忠心,

反信谗以齌怒。反而听信谗言对我发怒。

余固知謇謇之为患兮, 我早知道忠言直谏有祸,

忍而不能舍也。 原想忍耐却又控制不住。

指九天以为正兮,上指苍天请他给我作证,

夫唯灵修之故也。一切都为了社稷的缘故。

初既与余成言兮,你以前既然和我有成约,

后悔遁而有他。现另有打算又追悔当初。

余既不难夫离别兮,我并不难于与你别离啊,

伤灵修之数化。只是伤心你的反反复复。

以上是第二部分:诗人在实现自已政治理想的过程中遭遇到的挫折。

余既滋兰之九畹兮,我已经栽培了很多春兰,

又树蕙之百亩。又种植香草秋蕙一大片。

畦留夷与揭车兮, 分垄培植了留夷和揭车,

杂杜衡与芳芷。还把杜衡芳芷套种其间。

冀枝叶之峻茂兮,我希望他们都枝繁叶茂,

愿竢时乎吾将刈。等待着我收获的那一天。

虽萎绝其亦何伤兮,它们枯萎死绝有何伤害,

哀众芳之芜秽。使我痛心的是它们质变。

众皆竞进以贪婪兮,大家都拼命争着向上爬,

凭不厌乎求索。利欲熏心而又贪得无厌。

羌内恕己以量人兮,他们猜疑别人宽恕自已,

各兴心而嫉妒。他们勾心斗角相互妒忌。

忽驰骛以追逐兮,急于奔走钻营争权夺利,

非余心之所急。 这些不是我追求的东西。

老冉冉其将至兮,只觉得老年在渐渐来临,

恐修名之不立。 担心美好名声不能成立。

朝饮木兰之坠露兮, 早晨我饮木兰上的露滴,

夕餐秋菊之落英。晚上我用菊花残瓣充饥。

苟余情其信姱以练要兮,只要我的情感坚贞不移,

长顑颔亦何伤。 形销骨立又有什么关系。

揽木根以结茝兮, 我用树木的根结成茝草,

贯薜荔之落蕊。 再把薜荔花瓣穿在一起。

矫菌桂以纫蕙兮, 我拿菌桂枝条联结惠草,

索胡绳之纚纚。 胡绳搓成绳索又长又好。

謇吾法夫前修兮, 我向古代的圣贤学习啊,

非世俗之所服。 不是世间俗人能够做到。

虽不周于今之人兮, 我与现在的人虽不相容,

愿依彭咸之遗则。 我却愿依照彭咸的遗教。

以上是第三部分:在诗人的政治生涯中遭遇挫折之后,不退缩不气馁,兴办教育为国家培养人才,但在“众皆竞进以贪婪”的环境中,群芳芜秽了——这是诗人遭遇到第二次挫折,但诗人自已依旧积极自修,依照彭咸的遗教去做。

长太息以掩涕兮, 我揩着眼泪啊声声长叹,

哀民生之多艰。 可怜人生道路多么艰难。

余虽好修姱以鞿羁兮, 我虽爱好修洁严于责已,

謇朝谇而夕替。 早晨进谏晚上又丢官。

既替余以蕙纕兮, 他们攻击我佩戴惠草啊,

又申之以揽茝。 又指责我爱好采集茝兰。

亦余心之所善兮, 这是我心中追求的东西,

虽九死其犹未悔。 就是多次死亡也不后悔。

怨灵修之浩荡兮, 怨就怨楚王这样糊涂啊,

终不察夫民心。 他始终不体察我的心情。

众女嫉余之蛾眉兮, 那些庸人妒忌我的丰姿,

谣诼谓余以善淫。 造谣诬蔑说我妖艳好淫。

固时俗之工巧兮,庸人本来善于投机取巧,

偭规矩而改错。 背弃规矩而又改变政策。

背绳墨以追曲兮, 违背是非标准追求邪曲,

竞*容周**以为度。 争着苟合取悦作为法则。

忳郁邑余侘傺兮, 忧愁烦闷啊我失意不安,

吾独穷困乎此时也。 现在孤独穷困多么艰难。

宁溘死以*亡流**兮, 宁可马上死去魂魄离散,

余不忍为此态也。 媚俗取巧啊我坚决不干。

鸷鸟之不群兮, 雄鹰不与那些燕雀同群,

自前世而固然。 原本自古以来就是这样。

何方圜之能周兮, 方与圆怎能够互相配合,

夫孰异道而相安? 志向不同何以彼此相安。

屈心而抑志兮, 宁愿委屈心志压抑情感,

忍尤而攘诟。暂时忍受罪过,等待将来除去耻辱。

伏清白以死直兮, 保持清白节*死操**于直道,

固前圣之所厚! 本来是古代圣贤所推崇的!

以上是第四部分:因为诗人的特立独行,立即引起世间庸人的馋毁,从而使诗人再一次遭遇挫折,诗人陷入孤独绝望的境地。但诗人依旧矢志不屈,甘愿“伏清白以死直”,也不愿意屈服认同世俗:“背绳墨以追曲”。

悔相道之不察兮, 后悔当初不曾看清前途,

延伫乎吾将反。 迟疑了一阵我又将回头。

回朕车以复路兮, 调转我的车走回原路啊,

及行迷之未远。 趁着迷途未远赶快罢休。

步余马于兰皋兮, 我打马在兰草水边行走,

驰椒丘且焉止息。 跑上椒木小山暂且停留。

进不入以离尤兮, 既然进取不成反而获罪,

退将复修吾初服。 那就回去把我旧服重修。

制芰荷以为衣兮, 我要把菱叶裁剪成上衣,

集芙蓉以为裳。我并用荷花把下裳织就。

不吾知其亦已兮, 没有人了解我也就罢了,

苟余情其信芳。 只要内心真正馥郁芳柔。

高余冠之岌岌兮,把我的帽子加的高高的,

长余佩之陆离。 把我的佩带增得长悠悠。

芳与泽其杂糅兮,(因为)我的芳香和光泽杂糅在一起啊,(所以)唯独我光明纯洁的品质还没有亏损。 唯昭质其犹未亏。只有纯洁品质不会腐朽。

忽反顾以游目兮, 我忽然回头啊纵目四望,

将往观乎四荒。 我要游观四面遥远地方。

佩缤纷其繁饰兮,佩戴五彩缤纷华丽装饰,

芳菲菲其弥章。 散发着一阵阵浓郁清香。

民生各有所乐兮,人生各有各的乐趣啊,

余独好修以为常。我独爱美,并且习以为常。

虽体解吾犹未变兮,即使被肢解,我也不会改变啊,

岂余心之可惩。难道我的志向是可以挫败的吗?

以上是第五部分:遭遇苦难挫折,陷入孤独绝望境地的诗人内心深处进一步展开矛盾、彷徨、苦闷与追求理想,以及灵魂搏斗的过程,最终坚定自已的道德情操和政治理想。

女媭之婵媛兮, 姐姐对我遭遇十分关切,

申申其詈予: 她曾经一再地向我告诫。

曰:“鲧婞直以亡身兮, 她说:“鲧太刚直不顾性命,

终然殀乎羽之野。 结果被杀死在羽山荒野。

汝何博謇而好修兮, 你何忠言无忌爱好修饰,

纷独有此姱节? 还独有很多美好的节操。

薋菉葹以盈室兮, 满屋堆着都是普通花草,

判独离而不服。 你却与众不同不肯佩戴。

众不可户说兮, 众人无法挨家挨户说明,

孰云察余之中情? 谁会来详察我们的本心。

世并举而好朋兮, 世上的人都爱成群结伙,

夫何茕独而不予听?” 为何对我的话总是不听?”

依前圣以节中兮, 我以先圣行为节制性情,

喟凭心而历兹。 愤懑心情至今不能平静。

济沅湘以南征兮, 渡过沅水湘水向南走去,

就重华而陈词: 我要对虞舜把道理讲清。

“启《九辨》与《九歌》兮,“夏启偷得《九辩》和《九歌》啊,

夏康娱以自纵。 他*欢寻**作乐而放纵忘情。

不顾难以图后兮, 不考虑将来看不到危难,

五子用失乎家巷。 因此武观得以酿成内乱。

羿淫游以佚畋兮, 后羿爱好田猎溺于游乐,

又好射夫封狐。 对射杀大狐狸特别喜欢。

固乱流其鲜终兮, 本来淫乱之徒无好结果,

浞又贪夫厥家。 寒浞杀羿把他妻子霸占。

浇身被服强圉兮, 寒浇自恃有强大的力气,

纵欲而不忍。 放*情纵**欲不肯节制自已。

日康娱而自忘兮, 天天*欢寻**作乐忘掉自身,

厥首用夫颠陨。 因此他的脑袋终于落地。

夏桀之常违兮, 夏桀行为总是违背常理,

乃遂焉而逢殃。 结果灾殃也就难以躲避。

后辛之菹醢兮, 纣王把忠良剁成肉酱啊,

殷宗用而不长。 殷朝天下因此不能久长。

汤禹俨而祗敬兮, 商汤夏禹态度严肃恭敬,

周论道而莫差。 正确讲求道理还有文王。

举贤而授能兮, 他们都能选拔贤者能人,

循绳墨而不颇。 遵循一定准则不会走样。

皇天无私阿兮, 上天对一切都公正无私,

览民德焉错辅。 见有德的人就给予扶持。

夫维圣哲以茂行兮, 只有古代圣王德行崇高,

苟得用此下土。 才能够享有天下的土地。

瞻前而顾后兮, 回顾过去啊把未来瞻望,

相观民之计极。 观察做人根本打算怎样。

夫孰非义而可用兮? 哪有不义的事可以去干,

孰非善而可服? 哪有不善的事应该承当。

阽余身而危死兮, 我虽然面临死亡的危险,

览余初其犹未悔。 毫不后悔自已当初志向。

不量凿而正枘兮, 不度量凿眼就削正榫头,

固前修以菹醢。” 前代的贤人正因此遭殃。

曾欷余郁邑兮, 我泣声不绝啊烦恼悲伤,

哀朕时之不当。 哀叹自已未逢美好时光。

揽茹蕙以掩涕兮, 拿着柔软惠草揩抹眼泪,

沾余襟之浪浪。 热泪滚滚沾湿我的衣裳。

以上是第六部分:因为女媭的劝诫,诗人不得已来到重华面前,向他陈述自已的观点,期冀引起同情共鸣。

跪敷衽以陈辞兮, 铺开衣襟跪着慢慢细讲,

耿吾既得此中正。 我已获得正道心里亮堂。

驷玉虬以桀鹥兮, 驾驭着玉虬啊乘着风车,

溘埃风余上征。 飘忽离开尘世飞到天上。

朝发轫于苍梧兮, 早晨从南方的苍梧出发,

夕余至乎县圃。 傍晚就到达了昆仑山上。

欲少留此灵琐兮, 我本想在灵琐稍事逗留,

日忽忽其将暮。 夕阳西下已经暮色苍茫。

吾令羲和弭节兮, 我命令羲和停鞭慢行啊,

望崦嵫而勿迫。 莫叫太阳迫近崦嵫山旁。

路漫漫其修远兮, 前面的道路啊又远又长,

吾将上下而求索。 我要上上下下追求理想。

饮余马于咸池兮, 让我的马在咸池里饮水,

总余辔乎扶桑。 把马缰绳拴在扶桑树上。

折若木以拂日兮, 折下若木枝来挡住太阳,

聊逍遥以相羊。 我可以暂时从容地徜徉。

前望舒使先驱兮, 叫前面的望舒作为前驱,

后飞廉使奔属。 让后面的飞廉紧紧跟上。

鸾皇为余先戒兮, 鸾鸟凤凰为我在前戒备,

雷师告余以未具。 雷师却说还没安排停当。

吾令凤鸟飞腾兮, 我命令凤凰展翅飞腾啊,

继之以日夜。 要日以继夜地不停飞翔。

飘风屯其相离兮, 旋风结聚起来互相靠拢,

帅云霓而来御。 它率领着云霓向我迎上。

纷总总其离合兮, 云霓越聚越多忽离忽合,

斑陆离其上下。 五光十色上下飘浮荡漾。

吾令帝阍开关兮, 我叫天门守卫把门打开,

倚阊阖而望予。 他却倚靠天门把我呆望。

时暧暧其将罢兮, 日色渐暗时间已经晚了,

结幽兰而延伫。 我纽结着幽兰久久徜徉。

世溷浊而不分兮, 这个世道混浊善恶不分,

好蔽美而嫉妒。 喜欢嫉妒别人抹煞所长。

朝吾将济于白水兮, 清晨我将要渡过白水河,

登阆风而绁马。 登上阆风山把马儿系着。

忽反顾以流涕兮, 忽然回头眺望涕泪淋漓,

哀高丘之无女。 哀叹高丘竟然没有美女。

溘吾游此*宫春**兮, 我飘忽地来到*宫春**一游,

折琼枝以继佩。 折下玉树枝条增添佩饰。

及荣华之未落兮, 趁琼枝上花朵还未凋零,

相下女之可诒。 把能受馈赠的美女找寻。

吾令丰隆乘云兮, 我命令云师把云车驾起,

求宓妃之所在。 我去寻找宓妃住在何处。

解佩纕以结言兮, 解下佩带束好求婚书信,

吾令蹇修以为理。 我请蹇修前去给我做媒。

纷总总其离合兮, 云霓纷纷簇集忽离忽合,

忽纬繣其难迁。 很快知道事情乖戾难成。

夕归次于穷石兮, 晚上宓妃回到穷石住宿,

朝濯发乎洧盘。 清晨到洧盘把头发洗濯。

保厥美以骄傲兮, 宓妃仗着貌美骄傲自大,

日康娱以淫游。 成天放荡不羁*欢寻**作乐。

虽信美而无礼兮, 她虽然美丽但不守礼法,

来违弃而改求。 算了吧放弃她另外求索。

览相观于四极兮, 我在天上观察四面八方,

周流乎天余乃下。 周流一遍后我从天而降。

望瑶台之偃蹇兮, 遥望华丽巍峨的玉台啊,

见有娀之佚女。 见有娀氏美女住在台上。

吾令鸩为媒兮, 我请鸩鸟前去给我做媒,

鸩告余以不好。 鸩鸟却说那个美女不好。

雄鸠之鸣逝兮, 雄鸩叫唤着飞去说媒啊,

余犹恶其佻巧。 我又嫌它过分诡诈轻佻。

心犹豫而狐疑兮, 我心中犹豫而疑惑不定,

欲自适而不可。 想自已去吧又觉得不妙。

凤皇既受诒兮, 凤凰已接受托仗的聘礼,

恐高辛之先我。 恐怕高辛赶在我前面了。

欲远集而无所止兮, 想到远方去又无处安居,

聊浮游以逍遥。 只好四处游荡流浪逍遥。

及少康之未家兮, 趁少康还未结婚的时节,

留有虞之二姚。 还留着有虞国两位阿娇。

理弱而媒拙兮, 媒人无能没有灵牙利齿,

恐导言之不固。恐怕能说合的希望很小。

世溷浊而嫉贤兮, 世间混乱污浊嫉贤妒能,

好蔽美而称恶。 爱障蔽美德把恶事称道。

闺中既以邃远兮, 闺中美女既然难以接近,

哲王又不寤。 贤智君王始终又不醒觉。

怀朕情而不发兮, 满腔忠贞激情无处倾诉,

余焉能忍而与此终古? 我怎么能永远忍耐下去!

以上是第七部分:诗人在重华面前阐述了自已的“举贤授能”的政治主张后,引出神游天地,“上下求索”的幻想境界,充分表达诗人不容于世的强烈感情。

索藑茅以筳篿兮,我找来了灵草和细竹片,

命灵氛为余占之。 请求神巫灵氛为我占卜。

(曰:)“两美其必合兮, “听说双方美好必将结合,

孰信修而慕之? 看谁真正好修必然爱慕。

思九州之博大兮, 想到天下多么辽阔广大,

岂惟是其有女?” 难道只有这里才有娇女?”

(曰:)“勉远逝而无狐疑兮,“劝你远走高飞不要迟疑,

孰求美而释女? 谁寻求美人会把你放弃?

何所独无芳草兮, 世间什么地方没有芳草,

尔何怀乎故宇? 你又何必苦苦怀恋故地?

世幽昧以眩曜兮, 世道黑暗使人眼花迷乱,

孰云察余之善恶? 谁又能够了解我们底细。

民好恶其不同兮, 人们的好恶本来就不同,

惟此*党**人其独异! 只是这帮庸人更加怪异。

户服艾以盈要兮, 人人都把艾草挂在腰间,

谓幽兰其不可佩。 说幽兰是不可佩的东西。

览察草木其犹未得兮, 对草木好坏还分辨不清,

岂珵美之能当? 怎么能够正确评价玉器?

苏粪壤以充帏兮, 用粪土塞满自已的香袋,

谓申椒其不芳。 反说佩的申椒没有香气。”

欲从灵氛之吉占兮, 想听从灵氛占卜的好卦,

心犹豫而狐疑。 心里犹豫迟疑决定不下。

巫咸将夕降兮, 听说巫咸今晚将要降神,

怀椒糈而要之。 我带着花椒精米去接他。

百神翳其备降兮, 天上诸神遮天蔽日齐降,

九疑缤其并迎。 九嶷山的众神纷纷迎迓。

皇剡剡其扬灵兮, 他们灵光闪闪显示神灵,

告余以吉故。 巫咸又告诉我不少佳话。

(曰:)“勉升降以上下兮, 他说:“应该努力上天下地,

求矩矱之所同。 去寻求意气相投的同道。

汤禹严而求合兮, 汤禹为人严正虚心求贤,

挚咎繇而能调。 得到伊尹皋陶君臣协调。

苟中情其好修兮, 只要内心善良爱好修洁,

又何必用夫行媒? 又何必一定用媒人介绍?

说操筑于傅岩兮, 傅说拿梼杌在傅岩筑墙,

武丁用而不疑。 武丁毫不犹豫用他为相。

吕望之鼓刀兮, 姜太公曾经摆弄过屠刀,

遭周文而得举。 他被任用是遇到周文王。

宁戚之讴歌兮, 宁戚喂牛敲着牛角歌唱,

齐桓闻以该辅。 齐桓公听见后任为大夫。

及年岁之未晏兮, 趁现在年轻大有作为啊,

时亦犹其未央。 施展才能还有大好时光。

恐鹈鴂之先鸣兮, 只怕杜鹃它叫得太早啊,

使夫百草为之不芳。” 使得百草因此不再芬芳。”

何琼佩之偃蹇兮, 为什么这样美好的琼佩,

众薆然而蔽之。 人们却要掩盖它的光辉。

惟此*党**人之不谅兮, 想到这帮庸人不讲信义,

恐嫉妒而折之。 恐怕出于嫉妒把它摧毁。

时缤纷其变易兮, 时世纷乱而变化无常啊

又何可以淹留? 我怎么可以在这里久留。

兰芷变而不芳兮, 兰草和芷草失掉了芬芳,

荃蕙化而为茅。 荃草和惠草也变成茅莠。

何昔日之芳草兮, 为什么从前的这些香草,

今直为此萧艾也? 今天全都成为荒藁野艾。

岂其有他故兮, 难道还有什么别的理由,

莫好修之害也! 不爱好修洁造成的祸害。

余以兰为可恃兮, 我还以为兰草最可依靠,

羌无实而容长。 谁知华而不实虚有其表。

委厥美以从俗兮, 兰草抛弃美质追随世俗,

苟得列乎众芳。 勉强列入众芳辱没香草。

椒专佞以慢慆兮, 花椒专横谄媚十分傲慢,

榝又欲充夫佩帏。 茱萸想进香袋冒充香草。

既干进而务入兮, 它们既然这么热心钻营,

又何芳之能祗? 又有什么香草重吐芳馨。

固时俗之流从兮, 本来世态习俗随波逐流,

又孰能无变化?又还有谁能够意志坚定。

览椒兰其若兹兮, 看到香椒兰草变成这样,

又况揭车与江离? 何况揭车江离能不变心。

惟兹佩之可贵兮, 只有我的佩饰最可贵啊,

委厥美而历兹。 保持它的美德直到如今。

芳菲菲而难亏兮, 浓郁的香气难以消散啊,

芬至今犹未沫。 到今天还在散发出芳馨。

和调度以自娱兮, 我调度和谐地自我欢娱,

聊浮游而求女。 姑且飘游四方寻求美女。

及余饰之方壮兮, 趁着我的佩饰还很盛美,

周流观乎上下。 我要周游观访上天下地。

以上是第八部分:诗人听了巫咸的话,最后决定离开楚国。这一部分把诗人复杂的矛盾心理,万千思绪,都淋漓尽致地表达出来了。

灵氛既告余以吉占兮, 灵氛已告诉我占得吉卦,

历吉日乎吾将行。 选个好日子我准备出发。

折琼枝以为羞兮, 折下玉树枝叶作为肉脯,

精琼爢以为粻。 我舀碎美玉把干粮备下。

为余驾飞龙兮, 给我驾车啊用飞龙为马,

杂瑶象以为车。车上装饰着美玉和象牙。

何离心之可同兮?彼此不同心怎能配合啊,

吾将远逝以自疏。 我将要远去主动离开他。

邅吾道夫昆仑兮, 我把行程转到昆仑山下,

路修远以周流。 路途遥远继续周游观察。

扬云霓之晻蔼兮, 云霞虹霓飞扬遮住阳光,

鸣玉鸾之啾啾。 车上玉铃丁当响声错杂。

朝发轫于天津兮, 清晨从天河的渡口出发,

夕余至乎西极。最远的西边我傍晚到达。

凤皇翼其承旗兮, 凤凰展翅承托这旌旗啊,

高翱翔之翼翼。 长空翱翔有节奏地上下。

忽吾行此流沙兮, 忽然我来到这流沙地段,

遵赤水而容与。只得沿着赤水行进缓慢。

麾蛟*使龙**梁津兮, 指挥蛟龙在渡口上架桥,

诏西皇使涉予。 命令西皇将我渡到对岸。

路修远以多艰兮, 路途多么遥远又多艰险,

腾众车使径待。 我传令众车在路旁等待。

路不周以左转兮, 经过不周山向左转去啊,

指西海以为期。 我的目的地已指向西海。

屯余车其千乘兮, 我再把成千辆车子聚集,

齐玉轪而并驰。 把玉轮对齐了并驾齐驱。

驾八龙之婉婉兮, 驾车的八龙蜿蜒地前进,

载云旗之委蛇。载着云霓旗帜随风卷曲。

抑志而弭节兮, 定下心来啊慢慢地前行,

神高驰之邈邈。 难控制飞得远远的思绪。

奏《九歌》而舞《韶》兮, 演奏着《九歌》奏起《韶舞》啊,

聊假日以媮乐。 且借大好时光寻求欢娱。

陟升皇之赫戏兮, 太阳东升照得一片明亮,

忽临睨夫旧乡。 忽然看见我生长的故乡。

仆夫悲余马怀兮, 我的仆从悲伤马也怀念,

蜷局顾而不行。 退缩回头不肯走向前方。

以上是第九部分:诗人在接受灵氛、巫咸的劝告,决定离开楚国远游,最后终不忍离开的经过。这是诗人在迷离恍惚的心情中展开的最后一次幻想。

乱曰:“已矣哉! “算了吧!

国无人莫我知兮, 国内既然没有人了解我,

又何怀乎故都! 我又何必怀念故国旧居。

既莫足与为美政兮, 既然不能实现理想政治,

吾将从彭咸之所居!“ 我将追随彭咸安排自已。”

以上是《离骚》全诗的尾声,以当时楚国乐歌《乱》作结。

- END -

金农/汲古无闷/卫衣/黑色

书艺公社书画生活馆

——书与画的生活美学!

服饰、搭配、数码、餐厨、出行、文具、居家~

点击阅读原文浏览MORE......

▼▼▼