
First-in-class是所有制药人的梦想,是一个制药公司走向强盛,成为世界级公司的标志,然而因为其巨大的开发难度,在目前国内的管理体系、公司实力和人才梯队的现况下,还远不具备开发的条件。Me-too药因已有先驱药物上市,在临床中证实了有效性和安全性,有现成的生物评价模型和已知的靶点,风险相对较小,也是目前国家鼓励企业开发的重要方向。那么如何利用后发优势,类似甚至超越先驱药物,成为me-better、me-best,是每个公司都在思考的。而辉瑞制药的“立普妥”则成功地做成了史上最成功的me-best药物。虽是第五个上市的他汀类药,却在不到三年时间打败已上市十年的洛伐他汀,在专利期内取得1250亿美元的销售额,成为药品开发史上里程碑式的产品!
立普妥的基本信息
英文商品名:Lipitor(立普妥)
通用名:阿托伐他汀(Atorvastatin)钙片
化学名称:(3R,5R)-7-[2-(4-氟苯基)-3-苯基-4-(苯基氨基甲酰基)-5-异丙基-吡咯-1-基]-3,5-二羟基庚酸
分子式:C66H68CaF2N4O10
分子量:1155.34000
性状:白色椭圆形薄膜衣片
结构式:

棒球模型:

立普妥破壳而出
1973年,第一三共制药的化学家远藤章从橘青霉中发现了第一个羟甲基戊二酰辅酶A (HMG-CoA)还原酶*制剂抑**美伐他汀。1976年美伐他汀的研究引起了默沙东公司的关注,用相同的方法在土曲霉中发现了洛伐他汀,并于1987年成功将洛伐他汀推向市场,成为第一个上市的HMG-CoA还原酶*制剂抑**。医学界已普遍认识到高胆固醇、高血脂对人健康的危害,而降胆固醇新药洛伐他汀的上市,使得他汀类药物的有效性和安全性得到充分的证实,引发了世界制药公司开发新一代产品的热潮。1988年辛伐他汀在瑞典上市,1991年普伐他汀在美国上市,1994年氟伐他汀在英国上市,1997年阿托伐他汀(立普妥)在美国上市。
一般来讲,因为相同适应症市场的饱和性以及医生患者的接受性,前三个上市的药物基本占据了大部分的市场,那么作为第五个上市的立普妥是个什么来头呢?怎么成为一路高歌前进的重磅药呢?
立普妥并非辉瑞所原始研发。1985年,华纳-兰伯特(Warner–Lambert)公司的科学家继山德士公司来适可(氟伐他汀)之后,成功地研发出第二个全人工合成的他汀——阿托伐他汀。之后的临床研究显示,其疗效与安全性相当卓越,均优于已上市的他汀药物。华纳-兰伯特公司意识到他们挖到了金矿。不过华纳-兰伯特对其子公司的市场开拓能力深为担忧。它意识到自身实力不足,必须借助外部销售力量方能将市场做大,因而对辉瑞制药公司情有独钟。
当时,辉瑞制药公司凭借其强大的营销能力创造出多个年销售超过10亿美元的“重磅*弹炸**”药物,在药界名声鹊起,公司已上升为全球第5大制药公司。这时的辉瑞没能研发他汀类降血脂药物,但早就觊觎这个火热的市场。当华纳-兰伯特公司敲响辉瑞的大门时,双方一拍即合。
1996年,两家公司达成共同推广的协议。1997年,FDA批准了阿托伐他汀,商品名为“立普妥”,一段药品发展史上的销售传奇就此上演。
立普妥刚上市时,便得益于默克公司的4-S研究进展:人们对患高血脂的危机意识和医生对降脂药的信任得到了普遍提高。立普妥迅速在市场上攻城拔寨,上市仅一年,到1998年6月,立普妥已经占领了18%的市场,仅次于占37%的舒降之(辛伐他汀)。
通过与辉瑞的联姻,华纳-兰伯特获得远远超过其预期的收益。1999年底,华纳-兰伯特趁热打铁,与美国家庭用品公司,也就是后来的惠氏公司(Weyth)达成合并协议。合并可能令共同推广协议生变,这对于辉瑞来说将是一个巨大的损失。共同销售立普妥绝不是辉瑞的真正意图,取得对立普妥的完全控制权才是其真正目的。于是辉瑞打破制药行业温文尔雅、你情我愿的并购传统,立即向华纳-兰伯特提出强行收购要求,并动用共同营销合同中的一些条款阻止华纳-兰伯特与美国家庭用品公司的合并。2000年,辉瑞如愿以偿,以高达900亿美元的金额赢得了这场制药行业有史以来金额最大的收购战,立普妥因此被华尔街戏称为“漩涡他汀”。
立普妥的合成方法:
立普妥的合成方法研究的比较多,但是都各有千秋,有的所用原料成本比较高、有的所用原料对环境不友好、有的在合成中间体时有异构体生成、有的反应总收率偏低等等。下文列举两例合成方法。
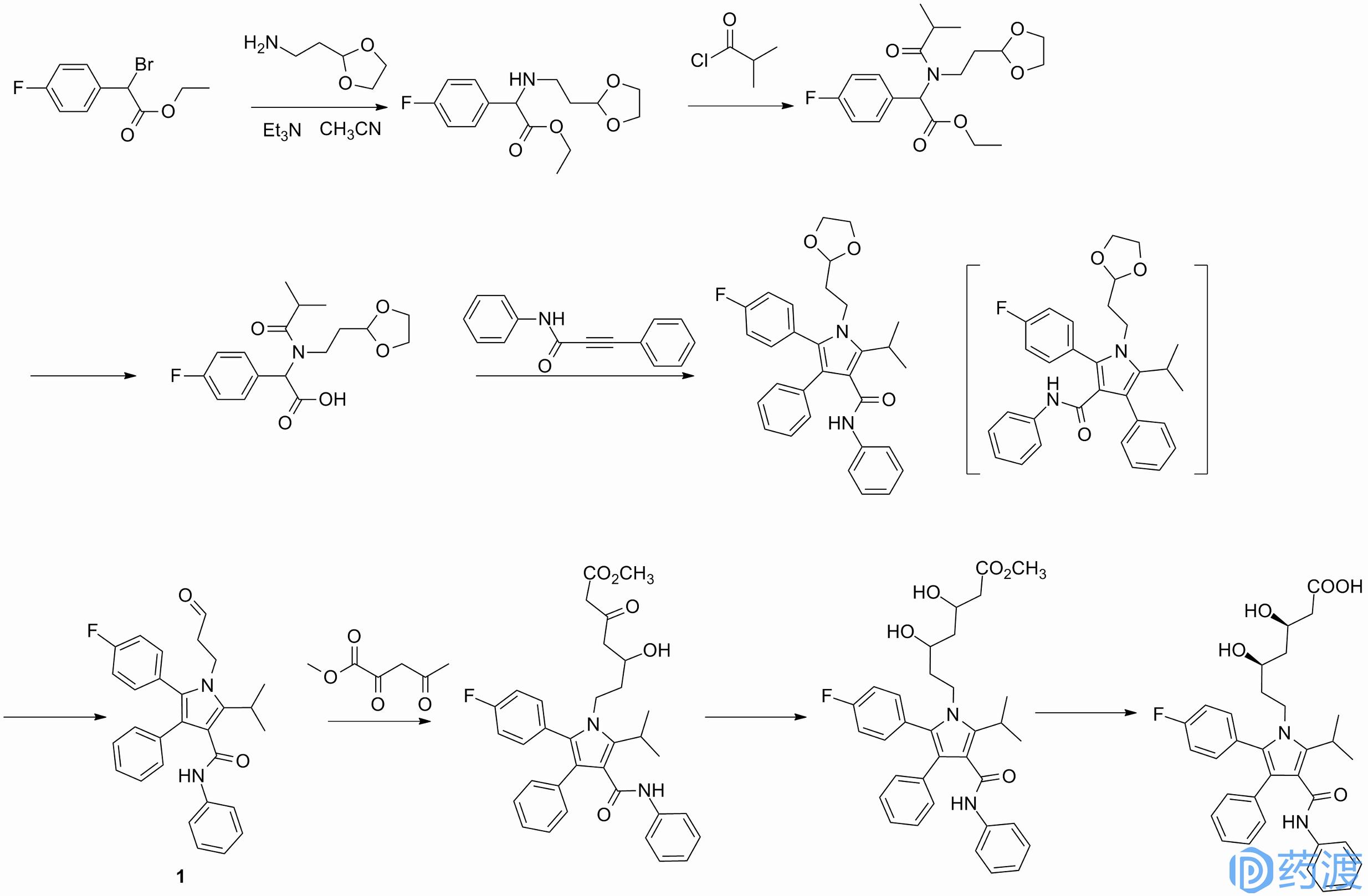
路线一:以2-(4-氟苯基)-2-溴-乙酸乙酯为起始原料
2-(4-氟苯基)-2-溴-乙酸乙酯与3-氨基-1-丙醛缩乙二醇反应生成α-氨基酸酯。该化合物与叔丁酰氯反应后的产物脱酯与3-苯基丙炔酰苯胺进行[3+2]环加成反应。再经过脱保护得中间体阿托伐他汀醛1,1再与乙酰乙酸乙酯反应引进侧链,经过还原、水解等步骤,最后得到目标化合物阿托伐他汀(Scheme 1)。这是在US4681893中第一次报道的外消旋阿托伐他汀的合成路线,另外在[3+2]环加成过程中会形成异构体。

Scheme 1
路 线 二:以阿托伐他汀醛为起始原料(Scheme2)
阿托伐他汀醛与(S)-2-羟基=l,2,2-三苯基乙酸乙酯在锂铝氢的作用下不对称地引进了侧链生成化合物(R)-5-[2-(4-氟苯)-5-异丙基-3-苯基-4-(苯氨甲酰)-1-吡咯]-3-羟基戊酸-[(S)-2-羟基-l,2,2-三氟苯]-乙酯。再经过还原等步骤最后形成有光学活性的阿伐他汀内酯化合物。该反应的总收率为84%。该内酯化合物可在碱性水解条件下生成所需目标化合物阿托伐他汀钙。

Scheme 2
立普妥的作用机制
在高血脂症中,有一类家族性高胆固醇血症(FH),它是一种以胆固醇血症为特征的正染色体显性遗传性疾病。该类患者的LDL受体先天具有缺陷,从而使LDL对胆固醇合成的调节机制失去作用,导致肝脏对血循环中LDL-C的清除能力下降,血浆LDL-C水平升高,使得血浆胆固醇浓度过高,目前用于控制FH最好的药物是他汀类。
阿托伐他汀是一种新型选择性羟甲基戊二酶辅酶A (HMG-CoA)还原酶*制剂抑**,阻断HMG-CoA还原成羟甲戊酸,他通过长时间持续竞争性抑制作用,降低血浆中胆固醇合成总量,从而抑制了VLDL的生成,降低甘油三酯水平;另外,阿托伐他汀可增加产生干细胞表面LDL受体的mRNA表达,使LDL受体数量显著增加并使其活性增强,增加血浆LDL-胆固醇的清除,保持细胞内胆固醇内环境的稳定,同时也降低载脂蛋白的水平。适用于杂合子家族或非家族性高胆固醇血症和混合性高脂血症,也适用于纯合子高胆固醇血症。
1. 抑制HMGu-CoA还原酶
HMG-CoA还原酶是胆固醇合成酶系中的限速酶,通过对其的一直作用,从而使胆固醇合成减少,引起血浆胆固醇浓度降低。当前所使用的几种HMG-CoA还原酶*制剂抑**都具有相同的作用机制。然而,动物实验表明,这类药物并非完全抑制胆固醇的合成,给药后仍有足够的胆固醇完成生理功能,如胆固醇的合成和细胞的生长,阿托伐他汀吸收即有生物活性。
2. 增加低密度脂蛋白(LDL)受体
阿托伐他汀通过使血浆胆固醇浓度降低,从而使VLDL合成分泌减少。VLDL是携带和转运三酰甘油所必需的,VLDL-C又是LDL-C的前体,因此阿托伐他汀可使三酰甘油、VLDL-C、LDL-C均降低。
3. 抗动脉粥样硬化作用
阿托伐他汀通过降低血脂,减少脂质浸润和泡沫的形成,对延迟动脉粥样硬化病有利。同时也可防止动脉粥样硬化破裂。体外实验表明可抑制平滑肌增殖和转移。
立普妥的市场销售情况
阿托伐他汀钙片(立普妥,Lipitor)是目前全球处方量最多的降胆固醇药物,原研厂家是华纳-兰伯特(并入美国辉瑞),自1997年在全球上市以来,销售额节节攀升。2000年被辉瑞以高达900亿美元的金额强行收购后,利用自身强大的市场推广与运作能力竭力推广销售该药。在立普妥未上市时辉瑞就提前培训了2000多销售代表,在上市的第一年就对医生进行了近百万次的拜访,说服他们给患者试用该药。后续又培训了1.3万名的销售代表,发动了更为强劲的销售攻势。同时进行四期临床试验,开展了阿伐他汀对急性冠状动脉综合症及老年冠心病的治疗作用,还进行了预防糖尿病心脑血管并发症的研究。大范围的临床试验证实了阿托伐他汀对预防动脉粥样硬化和冠心病有积极的作用,于是辉瑞大打大众广告,与美国心室协会联合发起一项“向着目标前进”的降胆固醇公众健康运动,鼓励患者向医生施压。活动取得了立竿见影的效果,数百万患者在好奇心的驱使下服用立普妥,使其成为一种真正的改善生活方式的药物。
最后是周密的知识产权保护与法律策略。立普妥拥有消旋体、单一异构体专利,后续还申请了制剂、晶型、复方等外围专利,进一步延长保护期。同时通过强大的律师团队对那些提出专利挑战的公司予以回击,对峙,周旋,尽量拖延仿制药的上市。
就这样,辉瑞通过灵活运用经济、商业、法律、知识产权等多种策略,使立普妥的销售额节节攀升,在2004年,阿伐他汀成为了医药史上第一个“超级重磅*弹炸**”,即年销售额过百亿美元,2006年突破128亿(如下图),达到巅峰,真可谓是“前无古人,后无来者!”无药可以与之比媲美!独领风骚!并连续7年维持百亿美元的水平,完成了由同靶点第五到后来居上并成为历史最畅销药物的飞跃。

立普妥2002至2011年的销售情况
资料来源:前瞻产业研究院整理
立普妥的专利布局
2011年11月30日,在全世界最大医药市场的美国主场,立普妥的专利保护正式到期。自1997年初获准上市以来,累计销售额约1500亿美元。能获得如此丰厚的商业效益和药物本身的药效及安全性不无关系,当然了商场如战场,如此骄人的商业利润,肯定少不了其它大药企的觊觎,因此时刻都在进行着没有硝烟的战争!而要在这样的竞争中拔得头筹,那就免不了原研企业Warner-Lambert公司和辉瑞公司的专利布局和专利防御。阿托伐他汀的基础专利:US4681893A被其他专利引用172次,US5273995A被其他专利引用187次。从Warner-Lambert公司早期的专利申请来看,其从中间体、产品、组合物、制备方法、晶体等不同角度申请了一系列专利,在其他公司尚未反应过来时就已经布下了一张既有深度又有广度的专利网。
从集中申请专利的时间段来看,在立普妥上市之前(1997年),Warner-Lambert公司已经完成了中间体及其制备方法(US4681893A、US5298627A)、产品(US5273995A)、四种晶体(WO9703958A1、WO9703959A1)、非晶型产品(WO9703960A1)、部分组合物(WO9416693A1、WO9716184A1)的专利申请,其作为原研企业在专利上的优势显露无疑。收购Warner-Lambert公司前,辉瑞公司其实已经对阿托伐他汀进行了深入的跟踪研发,并申请了数项与阿托伐他汀相关专利。截至2000年,辉瑞公司跟踪研发的与阿托伐他汀直接相关的专利申请已达到7项,其中,就有后来2004年成功上市的产品CADUET(氨氯地平与阿托伐他汀组合物,相关专利申请WO9911259A1的申请日为1998年8月11日)。可见,在收购Warner-Lambert公司之前,辉瑞公司不仅看好阿托伐他汀产品的市场前景,自身也已经对其进行了深入的研发,并将已有成果申请了专利。
辉瑞公司收购Warner-Lambert公司后,以Warner-Lambert公司为申请人的后续相关专利申请至2006年已达到16项,且后续的申请覆盖了更多的国家和地区,例如,进入中国的专利申请比例大大增加了。而以辉瑞公司为申请人的后续相关专利申请则达到18项。
从周期上来看,原研药企的相关专利申请在两个时期出现了申请高峰:一是上市前后(1997年),药品上市前景明朗后,药企必然需要投入大量精力对基础专利和外围专利进行初步的布局,以保证上市后的垄断地位和给仿制药企的仿制造成一定的障碍;二是在专利即将到期的前几年,此时,各大仿制药企已经纷纷进行针对性研究以抢占专利期后的市场(例如:梯瓦、南星、瑞迪博士等公司在2003~2008年中申请的关于阿托伐他汀的专利约有49项,其中大多已进入中国),原研药企需要扩展外围专利以尽可能地延长该药物带来的收益。
从类别上来看,辉瑞公司收购Warner-Lambert公司后,继续以辉瑞公司和Warner-Lambert公司为申请人,在每个类别上均有相关专利申请,特别是晶体、盐、制备方法,外围专利布局广泛。
可见,原研药企在产业链条中的各个角度均布置了障碍专利,使得其他公司难以突破阿托伐他汀相关专利布局的天罗地网。按照组合物、制备方法、晶型和剂型分类可以看出,辉瑞公司和Warner-Lambert公司在每个类别上均有专利申请。外围专利向来是仿制药企最为关注的方向,这给后来的仿制药企造成了较大的障碍。
结语
在所有降血脂药物中,他汀类药物是目前最为广泛使用的降脂药物,也是唯一可以确切降低冠状动脉疾病患者总死亡率的降血脂药物,具有选择性好,疗效高,副作用较少的特点。而立普妥却是如此众多的me-too他汀类药物中药物疗效、安全性等方面都比较有优势的药物,创下了不少傲人的成绩,连续多年销售近百亿,甚至有的年份接近130亿元,累计销售额达到1500亿,真可谓是辉瑞的印钞机!很显然,这与药物的先天优势有关,更与辉瑞强大的专利保护网以及雄厚的推广销售经验有关。
参考文献
[1] Grundy SM,Cleeman JI,Merz CN,Brewer HB,Clark LT,Hunninghake DB,Pasternak RC,Smith SC,Stone NJ (July 2004). 'Implications of recent clinical trials for the National Cholesterol Education Program Adult Treatment Panel IIIguidelines'. Circulation. 110 (2): 227–39.
[2] Hermann M,Bogsrud MP,Molden E,Asberg A,Mohebi BU,OseL,Retterstøl K (June 2006). 'Exposure of atorvastatin is unchanged but lactone and acid metabolites are increased several-fold in patients with atorvastatin-induced myopathy'. Clinical Pharmacology and Therapeutics. 79 (6):532–539
[3] Williams D,Feely J (2002). 'Pharmacokinetic-pharmacodynamic drug interactions with HMG-CoA reductase inhibitors'. Clinical Pharmacokinetics. 41 (5): 343–70.
[4] https://www.drugs.com/slideshow/lipitor-facts-1164#slide-2
[5] https://en.wikipedia.org/wiki/Atorvastatin
[6] https://www.drugs.com/pro/lipitor.html